新品 | 世紀金光推出第二代1200V SiC MOSFET器件
來源:世紀金光網站 發布時間:2022-10-08

世紀金光第二代1200V SiC MOSFET器件【CGE2M120080】

北京世紀金光半導體(以下簡稱“世紀金光”)是一家專注于碳化硅功能材料和功率器件研發與生產的國家級高新技術公司,深耕第三代半導體產業15年。2022年9月26日,世紀金光推出新款SiC 功率器件——第二代1200V 80mΩ SiC MOSFET的器件CGE2M120080,該系列具有更低導通電阻,高開關速度,低開關損耗等特性,主要用于開關電源、電機驅動器、電動汽車OBC、充電樁、光伏逆變等領域。

表1 CGE2M120080 SiC MOSFET器件主要規格參數
新產品單位面積導通電阻RDS(ON)相對于上一代產品下降了大約53%,柵總電荷量下降52%,使“漏源導通電阻×柵漏電荷(RDS(ON)×Qgd)”降低了大約78%,有效提升開關速度,從而使開關損耗減小超過20%,整體性能表現居先進水平。
此產品為世紀金光第二代MOSFET平臺下首款產品,我們后續將繼續擴展SiC MOSFET功率器件產品線,開發更多電壓電流規格的產品,提升器件性能、降低開關損耗,提升設備效率,持續地為客戶提供更優質的產品。
![]()
1、顯著改善導通電阻和RDS(on)*Qgd (FOM)
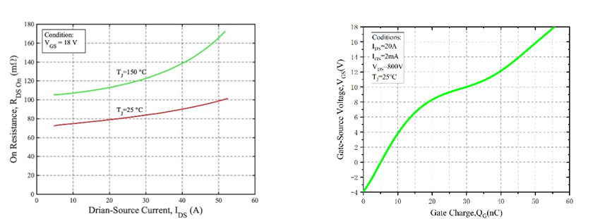
與第一代產品相比,通過溝道及JFET優化技術,單位面積導通電阻RDS(on)降低了大約53%,主要應用電流比導通電阻均達到3.5mΩ·cm2以下; RDS(on)*Qgd下降78%,約為1500 mΩ·nC;柵總電荷量下降52%,低至54.5nC,為實現更高速應用奠定基礎。

圖1新一代產品導通電阻和FOM對比圖

圖2 RDS(on)-ID曲線圖 圖3 柵總電荷曲線圖
2、開關時間減小,速度提升
第一代和第二代SiC MOSFET開關曲線如下。第二代產品開關時間減小,從而使開關損耗減小超過20%。
圖4 新一代產品開通/關斷延遲時間對比圖
3、溫度穩定性提高,降低散熱壓力
第二代SiC MOSFET器件,改進設計工藝,優化器件封裝,在溫度穩定性方面,尤其是高溫狀態下,器件參數變化更小。有效降低應用中熱設計難度,減輕散熱壓力。

圖5 導通電阻隨溫度變化曲線
4、體二極管導通壓降下降,續流能力增強
采用二極管增強結構設計,有效降低體二極管導通壓降,較前一代導通壓降下降超過1V。感性負載下提供更強的電流續流能力,有效降低能量損耗,提高系統能量利用率。

圖6 不同柵極電壓下導通壓降隨電流變化曲線
![]()

下一篇:學習二十大 奮進新征程

